繁體
登录
上街区基层政务公开
郑州市生态环境局上街分局
县级
2019-10-10
2019-10-10
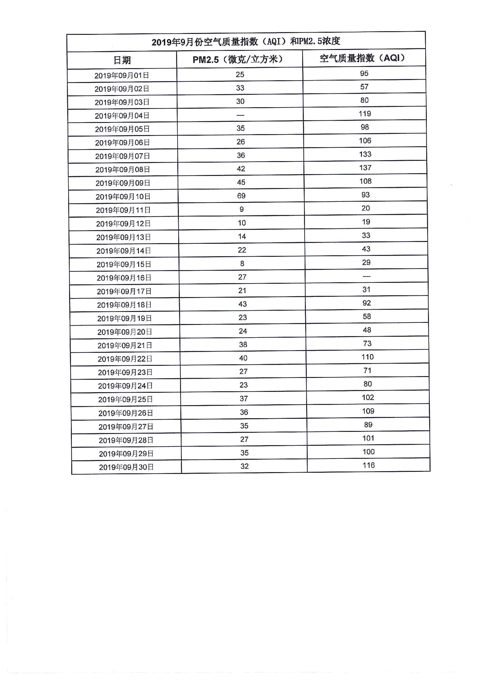
2019年9月份空气质量指数(AQI)和PM2.5浓度
主办单位:郑州市人民政府办公室
地址:郑州市中原路233号
邮编:450007
网站标识:4101000002
豫ICP备05012610号-1
豫公网安备 41010202002520号